POP

Plateforme ouverte du patrimoine

Maisons et fermes à La Croix-du-Perche

Désignation

Dénomination de l'édifice

Maison ; ferme

Titre courant

Maisons et fermes à La Croix-du-Perche

Localisation

Localisation

Centre-Val de Loire ; Eure-et-Loir (28) ; La Croix-du-Perche

Aire d'étude pour le domaine Inventaire

Parc naturel régional du Perche

Nombre d'édifices concernés par l'étude

83 repérées ; 11 étudiées

Historique

Siècle de la campagne principale de construction

16e siècle ; 17e siècle ; 18e siècle ; 19e siècle ; 1ère moitié 20e siècle

Références documentaires

Date de l'enquête ou du dernier récolement

2013

Date de rédaction de la notice

2013

Noms des rédacteurs de la notice et du dossier

Maillard Florent ; Casses Laetitia

Typologie du dossier

Dossier collectif

Adresse du dossier Inventaire

Région Centre-Val de Loire - Service régional de l'Inventaire - 6 rue de la Manufacture 45000 Orléans – 02.38.70.25.06

1/18
Bâtiment principal, élévation sud. ; La Léonie, ferme construite en 1864.
Bâtiment principal, élévation sud. ; La Léonie, ferme construite en 1864.
(c) Parc naturel régional du Perche ; (c) Région Centre-Val de Loire, Inventaire général
Voir la notice image
Vue générale depuis le sud-ouest. ; Gaillard, ferme en "U", vue d'ensemble des bâtiments.
Vue générale depuis le sud-ouest. ; Gaillard, ferme en "U", vue d'ensemble des bâtiments.
(c) Parc naturel régional du Perche ; (c) Région Centre-Val de Loire, Inventaire général
Voir la notice image
Les écoles, ferme de type "bloc-à-terre".
Les écoles, ferme de type "bloc-à-terre".
(c) Parc naturel régional du Perche ; (c) Région Centre-Val de Loire, Inventaire général
Voir la notice image
Tableau synthétique des éléments bâtis sélectionnés à La Croix-du-Perche.
Tableau synthétique des éléments bâtis sélectionnés à La Croix-du-Perche.
(c) Parc naturel régional du Perche ; (c) Région Centre-Val de Loire, Inventaire général
Voir la notice image
Rue Principale, vue générale. ; Le bourg, rue Principale, alignement de maisons.
Rue Principale, vue générale. ; Le bourg, rue Principale, alignement de maisons.
(c) Parc naturel régional du Perche ; (c) Région Centre-Val de Loire, Inventaire général
Voir la notice image
Plan de localisation des bâtiments du lieu-dit (fonds : plan cadastral de 2013, section ZI). ; La Léonie, ferme : plan de localisation des bâtiments de la ferme.
Plan de localisation des bâtiments du lieu-dit (fonds : plan cadastral de 2013, section ZI). ; La Léonie, ferme : plan de localisation des bâtiments de la ferme.
(c) Parc naturel régional du Perche ; (c) Région Centre-Val de Loire, Inventaire général
Voir la notice image
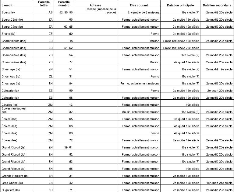
Tableau synthétique des éléments bâtis repérés à La Croix-du-Perche (1 sur 3).
Tableau synthétique des éléments bâtis repérés à La Croix-du-Perche (1 sur 3).
(c) Parc naturel régional du Perche ; (c) Région Centre-Val de Loire, Inventaire général
Voir la notice image
Plan schématique au sol. ; Gaillard, ferme en "U" : plan schématique au sol.
Plan schématique au sol. ; Gaillard, ferme en "U" : plan schématique au sol.
(c) Parc naturel régional du Perche ; (c) Région Centre-Val de Loire, Inventaire général
Voir la notice image
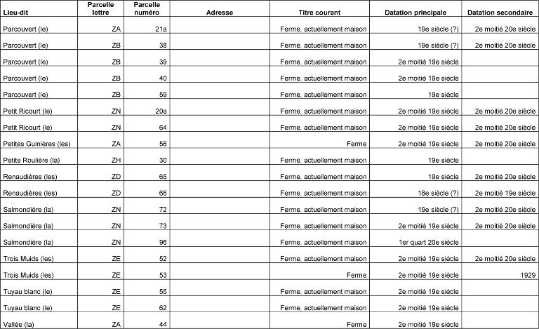
Tableau synthétique des éléments bâtis repérés à La Croix-du-Perche (2 sur 3).
Tableau synthétique des éléments bâtis repérés à La Croix-du-Perche (2 sur 3).
(c) Parc naturel régional du Perche ; (c) Région Centre-Val de Loire, Inventaire général
Voir la notice image
Le Charmois, mise en oeuvre en moellons de silex, encadrements en brique. ; Bâtiment secondaire, détail des portes de niches à chien.
Le Charmois, mise en oeuvre en moellons de silex, encadrements en brique. ; Bâtiment secondaire, détail des portes de niches à chien.
(c) Parc naturel régional du Perche ; (c) Région Centre-Val de Loire, Inventaire général
Voir la notice image
Demeure, vue générale du bâtiment principal depuis le sud. ; Demeure de la Pihourdière. ; La Pihourdière, demeure.
Demeure, vue générale du bâtiment principal depuis le sud. ; Demeure de la Pihourdière. ; La Pihourdière, demeure.
(c) Région Centre-Val de Loire, Inventaire général
Voir la notice image
Le bourg, 25 rue Principale, maison à pièce unique.
Le bourg, 25 rue Principale, maison à pièce unique.
(c) Parc naturel régional du Perche ; (c) Région Centre-Val de Loire, Inventaire général
Voir la notice image
Bâtiment en "L", aile ouest, vue générale depuis l’ouest. ; Chevilleau, ferme à cour ouverte, vue d''ensemble.
Bâtiment en "L", aile ouest, vue générale depuis l’ouest. ; Chevilleau, ferme à cour ouverte, vue d''ensemble.
(c) Parc naturel régional du Perche ; (c) Région Centre-Val de Loire, Inventaire général
Voir la notice image
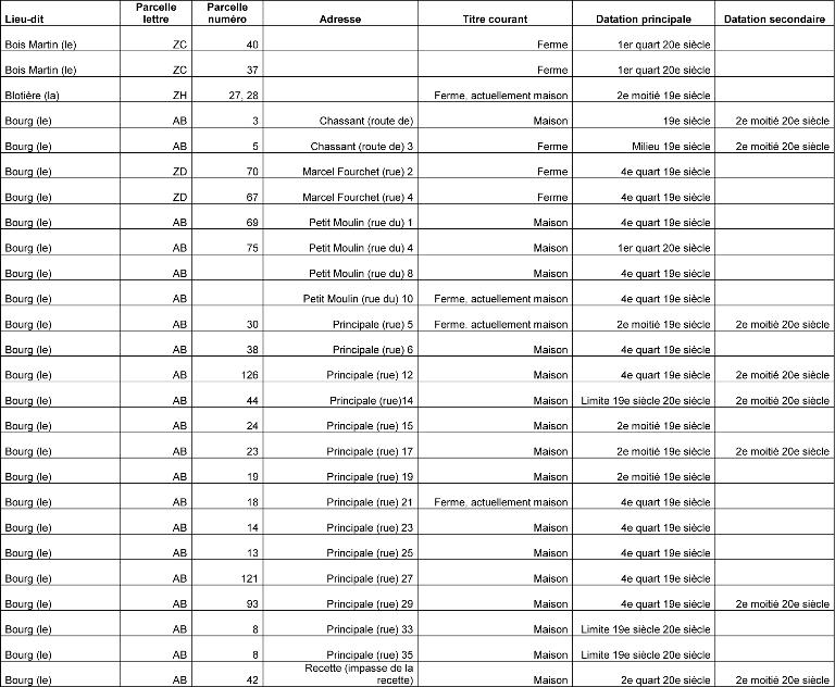
Tableau synthétique des éléments bâtis repérés à La Croix-du-Perche (3 sur 3).
Tableau synthétique des éléments bâtis repérés à La Croix-du-Perche (3 sur 3).
(c) Parc naturel régional du Perche ; (c) Région Centre-Val de Loire, Inventaire général
Voir la notice image
Maisons et fermes à La Croix-du-Perche - Carte synthétique des édifices repérés et sélectionnées.
Maisons et fermes à La Croix-du-Perche - Carte synthétique des édifices repérés et sélectionnées.
(c) Région Centre-Val de Loire, Inventaire général ; (c) Parc naturel régional du Perche
Voir la notice image
Le Charmois, ferme en "U" ; Vue éloignée de la ferme depuis l'est.
Le Charmois, ferme en "U" ; Vue éloignée de la ferme depuis l'est.
(c) Région Centre-Val de Loire, Inventaire général
Voir la notice image
Ancienne halle (betteraverie), vue de détail de l’inscription. ; Chevilleau, mise en oeuvre en pan de bois.
Ancienne halle (betteraverie), vue de détail de l’inscription. ; Chevilleau, mise en oeuvre en pan de bois.
(c) Parc naturel régional du Perche ; (c) Région Centre-Val de Loire, Inventaire général
Voir la notice image
Fournil et toit à porcs, détail de la mise en oeuvre. ; La Léonie, mise en oeuvre en terre crue (bauge) sur solin maçonné en moellons de silex.
Fournil et toit à porcs, détail de la mise en oeuvre. ; La Léonie, mise en oeuvre en terre crue (bauge) sur solin maçonné en moellons de silex.
(c) Parc naturel régional du Perche ; (c) Région Centre-Val de Loire, Inventaire général
Voir la notice image